欢迎访问
伟德怎么下载链接
官方网站!我单位真诚与社会各界携手合作,共谋发展!
网站地图
网站首页
伟德官方微博官网下载
机构简介
内设机构
单位荣誉
单位资质
联系方式
新闻中心
单位动态
BETVLCTOR伟德国际网页版
BETVLCTOR伟德登录入口
betvlctor伟德官方app
BETVlCTOR手机登录
BETVlCTOR网页版
政务公开指南
betvlctor登录网站
BETVLCTOR
领导简介
1946bv1946伟德手机版
人事信息
BETVLCTOR登录入口
招考(聘)及录(聘)用
政策法规
法律法规
规章
部门文件
上级政策解读
1946伟德官方网站
部门预决算
部门预算情况
部门决算情况
“三公”经费情况
专项资金情况
招标采购
招标采购预算
中标、成交及实施情况
新闻发布
制度安排
发布实录
依申请公开
公告通知
伟德认证平台
组织建设
纪检监察
党建动态
1946伟德国际源自英国始于1946
党风廉政建设
群团工作
工程信息
地质勘探
地勘延伸业
地质灾害防治
市政建筑工程
文明创建
创建机构
创建活动
创建成果
道德建设
效能建设
专题专栏
廉政专题
党风廉政建设专栏
教育专题
认真学习贯彻局党委“12481”总体工作思路
党纪学习教育
教育培训
学习贯彻局第六次党代会精神
学思想 强党性 重实践 建新功
强国复兴有我
党史学习教育
不忘初心牢记使命
解放思想大讨论
职工学习心得
党建专题
学习宣传贯彻党的十九届六中全会精神
庆祝党员大会隆重召开
水勘专题
疫情防控 水勘人在行动
最美水勘人
全省煤田地质系统地质调查员技能竞赛
学习宣传贯彻局年中经济工作会议精神
在线互动
您的位置:
网站首页
BETVlCTOR手机登录
公告通知
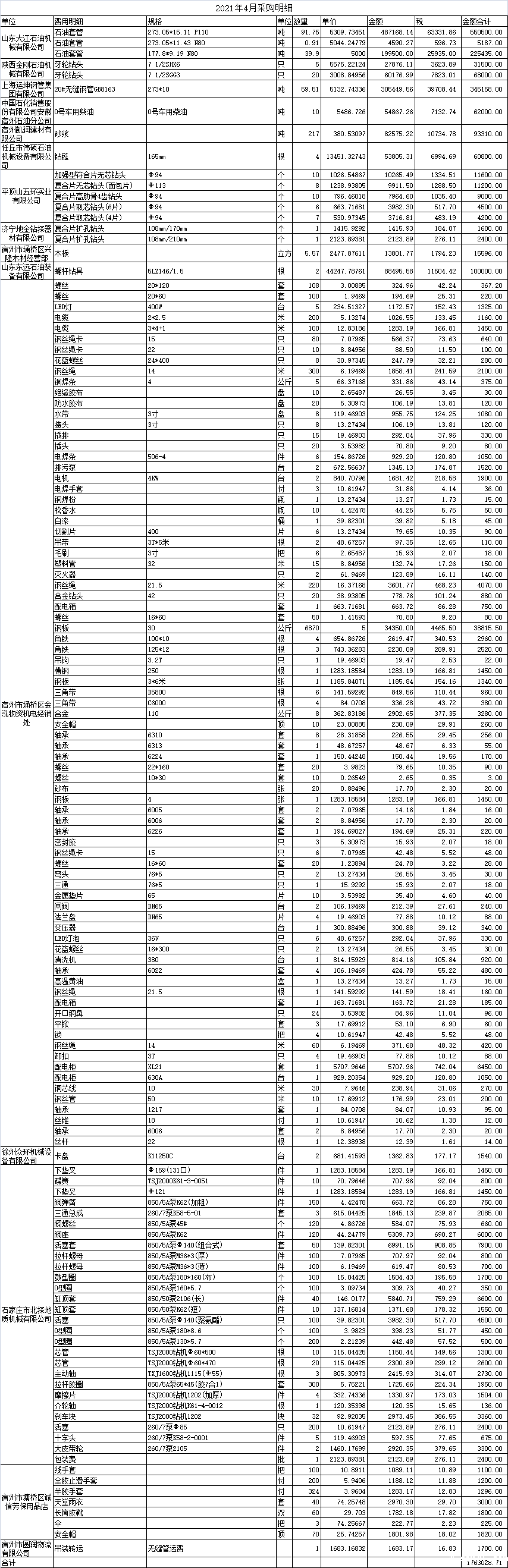
采购部2021年4月采购明细
索引号:12340000486001037G/20210519-110200
发布: 办公室/张晓明
时间: 2021-05-19
0
次阅读
上一条:
sgndf“我为群众办实事”实践活动暨“十件事”清单
下一条:
关于采购一体化泵站的招标公告
热度排行
1
伟德怎么下载链接2023年 公开招聘最终成绩及体检考察人员名单
2
接访下访公示
3
江西省地质局能源地质大队熊钟一行到我队走访交流
4
共青团伟德怎么下载链接团员大会胜利召开
5
sgndf召开2023年度工作会议暨九届四次职工(会员)代表大会
6
伟德官网下载苹果版app 笃定前行——参加新发展党员教育示范培训班心得体会
7
“小积分”兑出“大安全” ——sgndf安全积分超市开放侧记
8
sgndf举行2023年全省煤田地质系统钻探职业技能大赛选拔赛
9
春节保密提醒
10
宋长兵一行赴sgndf临涣区域探查治理项目调研督导“反三违”工作
月信息量统计
上月
本月
上年度
本年度
内设科室
下属单位
党政办公室
0
财务部
0
经营管理部
0
组织部
0
劳动人事部
0
工会
0
宣传部
38
审计室
0
安全质量部
0
市场开发部
0
总工办
0
后勤服务中心
0
器材装备部
0
地质勘察公司
0
市政公司
0
工勘测绘院
0
特钻工程公司
0
物探测井中心
0
设备维修厂
0
内设科室
下属单位
党政办公室
0
财务部
0
经营管理部
0
组织部
0
劳动人事部
0
工会
0
宣传部
6
审计室
0
安全质量部
0
市场开发部
0
总工办
0
后勤服务中心
0
器材装备部
0
地质勘察公司
0
市政公司
0
工勘测绘院
0
特钻工程公司
0
物探测井中心
0
设备维修厂
0
内设科室
下属单位
党政办公室
0
财务部
0
经营管理部
0
组织部
0
劳动人事部
0
工会
0
宣传部
738
审计室
0
安全质量部
0
市场开发部
0
总工办
0
后勤服务中心
0
器材装备部
0
地质勘察公司
0
市政公司
0
工勘测绘院
0
特钻工程公司
0
物探测井中心
0
设备维修厂
0
内设科室
下属单位
党政办公室
0
财务部
0
经营管理部
0
组织部
0
劳动人事部
0
工会
0
宣传部
649
审计室
0
安全质量部
0
市场开发部
0
总工办
0
后勤服务中心
0
器材装备部
0
地质勘察公司
0
市政公司
0
工勘测绘院
0
特钻工程公司
0
物探测井中心
0
设备维修厂
0
map